Topraklama Direnci Nedir? Topraklama Direnci Nasıl Ölçülür?
Topraklama direnci, elektrik sistemlerinde güvenliği sağlar. Doğru ölçüm yöntemleri ve sınır değerleriyle ilgili detaylı bilgileri keşfedin.
Topraklama direnci, elektrik sistemlerinde güvenliğin temel unsurlarından biridir. Elektrik tesisatlarında meydana gelebilecek kaçak akımların güvenli bir şekilde toprağa iletilmesini sağlayarak hem insan hayatını hem de cihazları korur. Doğru ölçüm yöntemleriyle belirlenen topraklama direnci, işletmelerin sürdürülebilir enerji yönetimi ve elektrik güvenliği açısından kritik bir göstergedir. Bu yazıda, topraklama direncinin ne olduğu, nasıl ölçüldüğü, hangi sınır değerlerde olması gerektiği ve hesaplama yöntemleri hakkında detaylı bilgiler bulabilirsiniz.
Topraklama Direnci Nedir?
Topraklama direnci, bir elektrik tesisatında topraklama elektrodu ile toprak arasındaki elektriksel direnci ifade eder. Bu direnç ne kadar düşük olursa, sistem o kadar güvenli çalışır. Yüksek topraklama direnci, elektrik kaçaklarının etkili şekilde topraklanmasını engeller ve elektrik çarpması, yangın gibi risklerin artmasına neden olabilir.
Topraklama sisteminin temel amacı, hatalı akımların toprağa iletilmesini sağlayarak devrelerin güvenli şekilde çalışmasını temin etmektir. Bu nedenle hem konutlarda hem de endüstriyel tesislerde topraklama direncinin ölçülmesi düzenli aralıklarla yapılmalıdır.
Topraklama Direnci Nasıl Ölçülür?
Topraklama direnci ölçümü, özel ölçüm cihazları kullanılarak yapılır. Genellikle topraklama direnci ölçüm cihazı veya megger adı verilen cihazlar kullanılır. Bu cihazlar, toprağa yerleştirilen yardımcı elektrotlar aracılığıyla direnci hesaplar.
Ölçüm yapılırken toprağın nem oranı, sıcaklığı ve elektrot derinliği sonuçları doğrudan etkiler. Bu nedenle ölçümler, özellikle yağışlı veya çok kuru dönemlerde farklılık gösterebilir. Ayrıca ölçüm sonuçları, TS EN 62305 ve IEC 60364 standartlarına göre değerlendirilmelidir.
Daha gelişmiş sistemlerde toprak kaçak akım rölesi kullanılarak elektrik güvenliği otomatik olarak izlenebilir.
Topraklama Direnci Kaç Olmalı?
Topraklama direnci sınır değerleri, kullanılan sistemin tipine, toprak yapısına ve iklim koşullarına göre farklılık gösterebilir. Türkiye’de bu değerler Elektrik İç Tesisleri Yönetmeliği ve IEC 60364 standardına göre belirlenmektedir:
- Alçak gerilim tesislerinde: Maksimum 10 Ω
- Yüksek gerilim tesislerinde: Maksimum 5 Ω
- Yıldırım koruma sistemlerinde: Maksimum 2 Ω
Bu değerlerin üzerinde bir direnç ölçülmesi durumunda sistemin yeniden gözden geçirilmesi ve gerekli topraklama direnci düşürme yöntemleri uygulanması gerekir.

Topraklama Direnci Sınır Değerleri Nelerdir?
Topraklama direnci sınır değerleri, elektrik sistemlerinde güvenliğin sağlanması açısından belirlenmiş maksimum direnç seviyelerini ifade eder. Bu değerler, sistemdeki elektrik akımının arıza durumlarında toprağa güvenli şekilde akmasını garanti altına almak için uluslararası standartlara göre belirlenmiştir.
Topraklama direncinin yüksek olması, kaçak akımların etkili şekilde toprağa iletilmesini engeller; bu da elektrik çarpması, cihaz arızaları ve yangın riski gibi ciddi güvenlik sorunlarına yol açabilir.
Türkiye’de topraklama direnci sınır değerleri, Elektrik İç Tesisleri Yönetmeliği ve TS EN 62305 (Yıldırımdan Korunma Standardı) ile IEC 60364 uluslararası standartlarına göre düzenlenmektedir. Bu standartlara göre farklı sistem türleri için kabul edilen maksimum direnç değerleri şöyledir:
Bina ve Trafo İçin Topraklama Direnci Değerleri
Binalarda ve trafolarda topraklama direnci, elektriksel güvenliğin sürekliliği açısından en hassas konulardan biridir. Bina topraklama sisteminin güvenli çalışması ve kaçak akımların etkin şekilde iletilmesi için yeterli kabul edilir.
- Trafo nötr topraklamasında genellikle 1 ohm veya daha düşük bir direnç değeri hedeflenir.
- Bu sayede arıza akımları güvenli şekilde toprağa akarak ekipman ve personel güvenliği korunur.
Topraklama direncinin bu sınırların üzerine çıkması, elektriksel sistemin güvenliğini doğrudan etkiler. Bu nedenle düzenli topraklama direnci ölçümleri yapılmalı ve gerekiyorsa direnç düşürme yöntemleri (ek elektrot kullanımı, toprak neminin artırılması, kimyasal katkılar vb.) uygulanmalıdır.
Bina Topraklama Direnci Kaç Ohm Olmalı?
Bina topraklama direnci, genellikle 5–10 ohm arasında olmalıdır. Bu değer, toprak yapısına ve binanın bulunduğu coğrafi bölgeye göre değişiklik gösterebilir.
Topraklama Direnci Hesabı Nasıl Yapılır?
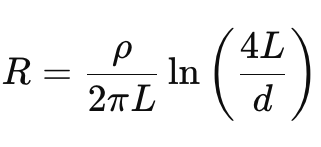
Topraklama direnci hesabı, toprak özgül direnci (ρ) ve elektrot özelliklerine göre yapılır. Temel formül şöyledir:

Burada R, topraklama direnci; ρ, toprak özgül direnci; L, elektrot uzunluğu; d, elektrot çapını ifade eder. Hesaplamalarda toprak nemi, sıcaklığı ve elektrot malzemesi gibi çevresel faktörler de mutlaka dikkate alınmalıdır.
Trafo Nötr Topraklama Direnci Nasıl Hesaplanır?
Trafo nötr topraklama direnci, trafonun nötr noktası ile toprak arasındaki dirençtir. Bu değer 1–2 ohm aralığında olmalıdır. Hesaplamada toprak özgül direnci, elektrot geometrisi ve bağlantı sayısı gibi faktörler dikkate alınır.
Topraklama Direnci Düşürme Yöntemleri Nelerdir?
Yüksek topraklama direnci ölçüldüğünde, bu değeri düşürmek için çeşitli yöntemler uygulanabilir:
- Elektrot sayısının artırılması: Direnci düşürmenin en etkili yoludur.
- Toprak yapısının iyileştirilmesi: Tuz, bentonit veya kimyasal katkılarla toprak iletkenliği artırılabilir.
- Elektrot derinliğinin artırılması: Derine inildikçe toprak nem oranı artar, bu da direnci azaltır.
Bu yöntemler, elektriksel güvenliği artırırken sistem performansını da optimize eder.
Topraklama direnci, yalnızca bir ölçüm değeri değil; aynı zamanda tesis güvenliğinin göstergesidir. Doğru ölçüm, hesaplama ve bakım süreçleriyle hem insan hem de ekipman güvenliği sağlanabilir. ENTES olarak, topraklama sistemlerinde yüksek standartlarda güvenlik çözümleri sunmaya devam ediyoruz.
Yayınlanma Tarihi: 18 Kasım 2025, 10:11